【摘要】 1995年,纳米流体第一次在美国阿贡国家实验室被制备出来,此种固-液两相态流体在诞生之初,就受到了全球科学家的重视。
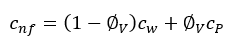
1995年,纳米流体第一次在美国阿贡国家实验室被制备出来,此种固-液两相态流体在诞生之初,就受到了全球科学家的重视。而受到纳米颗粒小尺寸效应的影响,纳米流体的比热容计算也不能简单的套用固液混合物比热容计算的加和原理。对于纳米流体的比热容计算,1998年Pak和Cho于1998年首次提出了以下方程式来计算水基纳米流体的比热容:
(1)
式中,为纳米流体的比热容,为水的比热容,为纳米颗粒的比热容,为纳米颗粒的体积分数。
2000年,Xuan和Roetze通过在各种文献资料中获得的纳米流体的实验数据,对公式(1)进行了修正,提出了新的纳米流体比热容计算公式:
(2)
式中,
(3)
式中,为纳米流体的比热容,为纳米流体的密度, 为纳米流体的体积分数。此外,nf、f和s分别指纳米流体、基液和固体。
Hanley等使用DSC分别测定了体积分数为O-0.3%的水基二氧化硅纳米流体、O-0.1%的水基氧化铝纳米流体和O-O.15%的水基二氧化碳纳米流体的比热容,并与现有计算模型进行了对比。试验结果与公式(2)的计算值相比偏差较小,而式(1)的计算值与试验结果相比有较大的误差。
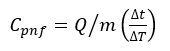
2007年,Kulkarni等推导出了与比热容有关的公式(4),通过这个方程可以来验证比热容测量装置和实验程序的准确性。
(4)
式中:Q为供给流体的热量,m为流体的质量,△t为加热时间,△T为加热后升高的温度。
[1]任龙.高温溴化锂溶液导热系数和比热容的实验测定与模型计算[D].大连理工大学,2015.
[2]Yimin Xuan,Wilfried Roetzel.Conceptions for heat transfer correlation of nanofluids[J].Internati onal Journal of Heat and Mass Transfer, 2000,43(19):3701-3707.
[3]Harry O'Hanley, Jacopo Buongiorno, Thomas McKrell, Lin-wen Hu. Measurement and Model Validation of Nanofluid Specific Heat Capacity with Differential Scanning Calorimetry[J].Advances in Mechanical Engineering,2012,4:1-6.
[4]张琦.基于差示功率补偿的绝热加速量热法研究[D].中国计量大学,2019.
科学指南针为您提供材料测试,主要业务范围包括XPS,普通XRD,透射电子显微镜TEM,全自动比表面及孔隙度分析BET等测试。





您已经拒绝加入团体

