【摘要】 压汞法(MIP,mercury intrusion porosimetry)测孔技术是一种传统的测孔技术,迄今已经有90多年的历史。1921年,Washburn首先提出了多孔固体的结构特性可以把非浸润的液体压入其孔中的方法来分析的观点。Washburn假定迫使非浸润的液体进入半径为R的孔所需的最小压力P由公式P=K/R确定。
压汞法(MIP,mercury intrusion porosimetry)测孔技术是一种传统的测孔技术,迄今已经有90多年的历史。1921年,Washburn首先提出了多孔固体的结构特性可以把非浸润的液体压入其孔中的方法来分析的观点。Washburn假定迫使非浸润的液体进入半径为R的孔所需的最小压力P由公式P=K/R确定。
这个简单的概念就成为了现代压汞法测孔的理论基础。最初发展压汞法是为了解决气体吸附法所不能检测到的大孔径(如大于30nm的孔径)。后来由于新装置可达到很高的压力,从而也能测量到吸附法所及的小孔径区间。
在多孔材料的孔隙特性测定方面,压汞法的孔径测试范围可达5个数量级,其最小限度约为2 nm,最大孔径可测到几百个微米,同时也可测量孔比表面积、孔隙率和孔道的形状分布。此外,由于汞不能进入多孔材料的封闭孔(“死孔”),因此压汞法只能测量连通孔隙和半通孔,即只能测量开口孔隙。
它能够测量的孔径范围约为5 nm~360m。除了孔体积和孔径外,依据MIP测试数据还可以计算孔的分形维数。孔分形维数表征的是孔的复杂程度和不规则程度,在2-3之间。分形维数越大,表明孔的复杂程度越高。
用压汞方法测定材料的孔隙率和孔径分布

(1)文献收录:Cement and Concrete Research
DOI: 10.1016/j.cemconres.2011.09.012
(2)摘要:

这篇文章探究了掺有粉煤灰的水泥净浆在水化过程中孔结构的变化。作者使用多种测试手段对样品的孔隙率、孔径分布、比表面积进行表征。
结果表明:(1)水胶比对样品的孔结构具有决定性影响;(2)粉煤灰对早期水泥水化影响较大,随着龄期的提高,其作用渐渐降低;(3)总孔隙率和比表面积与化学动力学密切相关。
(3)测试仪器:


根据压汞的方法,假定孔径为圆柱形孔,则孔径d计算公式如(2)所示。其中,γ=0.485N/m。压汞仪型号为type Autopore IV 9510,最小压力1.4kPa,最大压力414MPa,孔测试范围3nm-800。
(5)测试谱图:


(5)测试分析:




作者设置了8组试验,水胶比w/b分别为0.3和0.5,每个水胶比中,粉煤灰掺量为0%、20%、40%和60%,养护时间分别为7天,28天和90天。具体配比见表2。

使用压汞测孔隙率时,数据由测试报告直接给出。图1为不同天数的,不同干燥条件下样品的孔隙率。
结果显示,w/b=0.5的样品的孔隙率明显高于w/b=0.3的样品,表明水胶比对孔隙率有决定性影响。另一方面,与ff=0和20%的样品相比,ff=40%和60%的样品的孔隙率在7-90d基本保持不变,这是因为对于大体积粉煤灰水泥浆体,粉煤灰颗粒的水化作用消耗形成的水泥水化产物并产生其自身的水化产物,使材料的孔隙率与硬化龄期大致保持一致。在干燥方式的讨论中,作者发现w/b=0.5时,使用O-drying干燥的样品的孔隙率为最大。
在使用氮气吸附测定孔径分布时,应该注意到压汞测孔仅是连通孔。图2为孔径分布和累计孔体积。在水化初期,w/b大的样品的累计孔体积明显较高,但是随着水化时间的延长,二者之间差距在缩小,这是粉煤灰水化的结果。
利用Neimark model求分形维数
(1)题目及作者:

(2)文献收录:Cement and Concrete Composites
DOI: 10.1016/j.cemconcomp.2018.12.020
(3)摘要:

文章探究了Superabsorbent polymer (SAP)与水泥净浆之间的接触区域的孔结构。作者设置了水灰比为0.24和0.3的试验,使用MIP试验和Neimark model计算了二者接触区域内的分形维数。
结果表明,所有样品在微观和宏观分形上均表现出多重分形特性,接触区域的表面分形维数始终大于基质,这回表明接触区域的孔复杂程度更高。

(4)测试仪器及Neimark model:

作者使用Auto Pore IV 9500仪器测定,样品的质量2-3g,测定之前50℃下干燥24h,压力范围0.51-60000psia,汞的表面张力γ=0.485N/m,接触角 =130°
(5)测试谱图:


(6)测试分析:


Neimark model:

使用Neimark model步骤:(1)根据压汞数据和公式4、6计算出固液接触面积S,其中,Vp表示压力P下的压汞量;(2)使用公式7分别计算logS和logP;(3)以logP为x轴,logS为y轴拟合,得到直线斜率D-2,D表示分形维数。 图10为依据MIP数据和Neimark model计算得到的水灰比分别为0.24和0.3的水泥浆体和与SAP接触区域的孔的分形维数。图上显示,每个样品的分形维数均可分为3段,这说明水泥的孔结构呈分段分形特征。
在压力大于22MPa的时候,孔的直径小于50nm,这个阶段具备分形特征;压力为31-178kPa范围内,孔径为1-40,这个阶段具备分形特征。
将水泥浆体和接触区域的分形维数作对比,会发现对于所有样品,水泥浆体的分形维数明显小于接触区域,这说明接触区域的孔结构更为复杂和不均匀,这表明SAP对水泥浆体孔的复杂性具有明显影响。
利用Zhang’s model求分形维数
(1)题目及作者:

(2)文献收录:Applied Surface Science
DOI: 10.1016/j.apsusc.2017.09.165
(3)摘要:

文章探究了不同掺量的高炉矿渣(GGBFS)对水泥孔结构分形特征的影响。作者使用压汞测定样品的孔结构,试验结果表明,孔径为6-10nm,10-25nm和大于100nm的孔出现分形特征。在较大的毛细孔中,随着GGBFS替代率增加到65%,孔表面分形维数和孔体积减小,并且当GGBFS替代率从65%增加到80%时,表面分形维数和孔体积增加。在中孔中,GGBFS替换率提高后,孔的表面分形维数和孔体积增大。
(4)测试仪器及Zhang’s model:

作者使用Auto Pore IV 9500仪器测定,样品尺寸为10×10×10mm。
(5)测试谱图:

(6)测试分析:

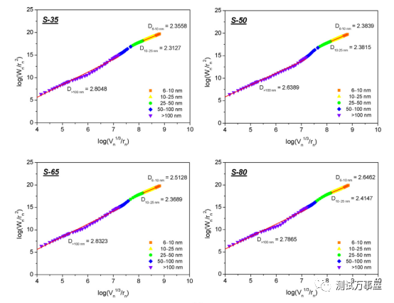
作者使用水泥和矿渣制备样品,矿渣的替代率分别为35%、50%、65%和80%,分别命名为S-35 、S-50、S-65和S-80。
Neimark model:

使用Neimark model步骤:(1)根据压汞数据计算,其中,Vi表示压力Pi下的压汞量,n为总数据量;(2)计算,其中Vn表示第n步的累计吸附量,rn表示第n步的孔径;(3)以为x轴,拟合,得到直线斜率D,D表示分形维数。
图10为依据MIP数据和Zhang’s model计算得到水化3天的样品的孔表面分形维数。图上显示,每个样品按照孔径大小,分形维数可以分为三段:6-10nm、10-25nm和大于100nm,在这些范围内的表面分形维数反映了水合产物内部微孔的表面形貌特征。对于6-10nm的孔的分形特征,S-35 、S-50、S-65和S-80的分形维数分别为2.3558、2.3839、2.5128和2.6462,表明分形维数随着矿渣替代率的提高而提高,说明掺入GGBFS后会增大水泥凝胶孔的复杂程度。
小结:
MIP是测定物质孔结构的常用方法之一,其测定范围小至几nm,大致可达几百微米,测定的范围相当大。通过MIP,可以得到孔隙率、孔径分布和孔体积,按照相应的模型,可以计算孔的分形维数,将MIP数据充分利用。
本文所有内容文字、图片和音视频资料,版权均属科学指南针网站所有,任何媒体、网站或个人未经本网协议授权不得以链接、转贴、截图等任何方式转载。





您已经拒绝加入团体

