【摘要】 荧光寿命测试,测试的结果是光源激发下所监测的发射波长的荧光衰减曲线,一般工程师会给相应的寿命拟合结果:拟合的曲线、拟合的加权残差(文本数据)、拟合的寿命τ1 (τ2、τ3)和对应的占比 B1 (B2、B3),平均寿命可通过公式计算获得。
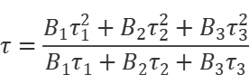
荧光寿命测试,测试的结果是光源激发下所监测的发射波长的荧光衰减曲线,一般工程师会给相应的寿命拟合结果:拟合的曲线、拟合的加权残差(文本数据)、拟合的寿命τ1 (τ2、τ3)和对应的占比 B1 (B2、B3)(如附图1),平均寿命可通过公式(附图2)计算获得。
附图1

附图2

或者

平均寿命τ的两种表达式本质上是相同的,
因为Rel%本身就是通过τ1 (τ2、τ3)和B1 (B2、B3)计算出来的。
实际应用中第二个式子更为简化、计算更方便。
附图1中χ2表示置信因子,当0.8<χ2 <1.3时,表示拟合结果可靠适用。工程师一般用爱丁堡仪器自带的软件给出相应合适阶数的拟合,该拟合结果仅供参考。结合自身样品,如需其它阶数的结果,可用origin快速拟合。origin快速拟合的步骤如下:
荧光衰减曲线通常选用指数函数(exponential)拟合,对应在Origin里的ExpDec(指数衰减)或者ExpDecay(带x0偏移量的指数衰减)。有不同指数的衰减函数可选,不同的指数即对应不同的拟合阶数。
方法一:用ExpDec函数
原始数据(衰减曲线)作图后如附图3所示,y轴最高点数据对应的x轴的9.57处,为使y轴最高点数据对应x=0处,将x轴数据统一减去9.57。操作方法如下:新增一列x轴和一列y轴数据,设置x轴数值=原x轴数值- 9.57,对应的y轴数值不变;将x=0之前的数据删掉,作图得到附图4。
附图3 附图4


开始拟合寿命,依次选择Fitting - Exponentiak Fit – Open Dialog(附图5),选择对应的阶数,这边是用ExpDec2,即二阶拟合(附图6)。
附图5

附图6

可以点击Data Slection选择需要拟合的范围,一般就是最高点到水平的地方。点击Fit,即得到拟合结果,寿命τ1、τ2和系数 A1、A2(附图7)。A等同于前文中的B。拟合出的Adj.R-Square表示数据和拟合曲线的相关性,该数值越接近1表示拟合结果越可靠。
附图7

方法二:用ExpDecay函数
原始数据(衰减曲线)作图后如上文的附图3,观察得知y轴最高点数据对应的x轴的9.57处。直接用带x0偏移量的ExpDecay函数拟合,依次选择Fitting - Exponentiak Fit – Open Dialog,选择对应的阶数,这边是用ExpDecay2(附图8)
附图8

再选择Date Selection – Select Range from Graph(附图9),在图中选择对应要拟合的范围,一般是从y轴最高点到y轴曲线几乎水平的位置(附图10)。如曲线接近水平的位置难以判断,可纵坐标取对数来判断。
附图9

附图10

选择好拟合的曲线范围后双击关闭,再选择Parameters将x0的数值固定成9.57(附图11),点击Fit,得到拟合结果(附图12)。
附图11

附图12

可以看到,用ExpDec和ExpDecay函数拟合出的结果是几乎一致的(理论上精确选好条件后就是一致的),只是τ1、τ2和 A1、A2调了个顺序。两种拟合方法都是适用的,喜欢用哪个就用哪种方法,前提是一定要结合经验和材料本身判断好合适的拟合阶数。
本文所有内容文字、图片和音视频资料,版权均属科学指南针网站所有,任何媒体、网站或个人未经本网协议授权不得以链接、转贴、截图等任何方式转载。





您已经拒绝加入团体

