【摘要】 纳米压痕技术是一种比较常用的测试材料力学性能的方法,由于这一技术基于高精度位移测试,文献中有时也称之为深度敏感压痕技术(Depth-Sensing Indentation Technique,DSI)
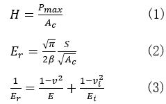
根据这些参量及下列(1)、(2)、(3)三个关系式,可以计算出硬度(H)和弹性模量(E):

其中,Ac为压痕过程中压头与被测材料之间的接触面积,β为与压头形状相关的常数,对于球形压头β=1;Er为约化弹性模量,用于解释试样的弹性变形;E和v分别为被测材料的弹性模量和泊松比;Ei和 Vi分别为压头的弹性模量和泊松比。
为了通过载荷-深度数据得到硬度和弹性模量,就需要得到弹性接触刚度(S)和接触面积(Ac)。目前被广泛用来确定接触面积的方法称为oliver-Pharr方法,通过拟合卸载曲线顶部的载荷与位移之间的关系,见(4)式:
P=B(h-hf)m(4)
式中,B和 m是通过测量获得的拟合参数;hy为完全卸载后的位移。弹性接触刚度可以根据公式(5)求微分得到:
(5)
对于一条拟合的卸载曲线,式(5)就不一定总是正确的。通过全部卸载曲线拟合得到的参量通常会导致较大的误差,通常只取卸载曲线顶部的25%-50%进行拟合。
为了确定接触面积,必须得到接触深度hc,对于弹性接触,接触深度总是小于最大压痕深度hmax,如图一所示,接触深度可以由(6)式给出:
(6)
式中,ε为与压头形状有关的常数,对于球形或锥形压头,ε=0.75;对于圆锥形压头,ε=0.72。再根据经验公式(7)可计算得出面积:
Ac=f(hc)(7)
一旦得到接触刚度S和接触面积A,则硬度H和弹性模量E便可以由(1)式和(2)式算出。
[1]刘启涛.单晶铜纳米压痕过程中位错演化的分子动力学研究[D].武汉:华中科技大学,2018.
[2]Oliver W C,Pharr G M. Improved technique for determining hardness and elastic Modulus using load and disp lacement sensing indentation experiments[J]Journal of Materials Research,1992,7(6):1564-1583.
[3]刘兴华. 纳米压痕作用下双相TiAl合金变形机制研究[D].兰州理工大学,2021.DOI:10.27206/d.cnki.ggsgu.2021.000776.
[4] Zhangwei Chen,Xin Wang,v ineet Bhakhri,et al. Nanoindentation of p orous bulk and thin films of La0.6Sr0.4Co0.2Fe0.803-8[J]. Acta Materialia,2013,61(15):5720-5734.
免责声明:部分文章整合自网络,因内容庞杂无法联系到全部作者,如有侵权,请联系删除,我们会在第一时间予以答复,万分感谢。





您已经拒绝加入团体

