【摘要】 通过引入电负性强的元素,抑制电子受外加电场的作用。
本期我们将向各位小伙伴介绍如何降低材料的电子以及分子的极化率,主要有以下几种方式。
1.降低电子极化率
材料电子极化率的降低主要是电子密度的降低,可以采取以下几种方法:
①通过加入小分子来降低材料极化强度。
②通过引入电负性强的元素,抑制电子受外加电场的作用。
2.降低分子极化率
降低分子极化率的有效途径是引入低极性原子或基团,电子极化率较低的基团主要有C-C、C-F、C-O、C-H单键。所以,含F及无F的脂肪族C-H化合物就是很好的低介电材料。例如:聚酞亚胺、苯并环丁烯树脂等有机聚合物。
起初,人们采用氟和碳掺杂传统的SiO2的方法获得低k电介质。降低极化率并增加自由体积来降低材料k值可以通引入氟来实现。此种类型材料的电介质k值通常在3-3.5范围内。
3.降低材料密度
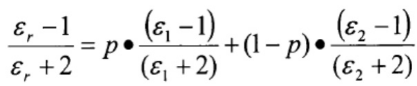
介电常数受材料密度N的影响大于分子极化的影响,降低N可使材料的介电常数接近ε0。一个降低材料密度的重要方法是增加孔洞,多孔材料由固相以及孔洞组成,固相的介电常数ε2与致密材料几乎相同,多孔材料的介电常数εr与孔隙p与有关:

同时,可以在材料中引入较大基团,来增加材料的空间位阻效应,或添加孔洞来增加孔隙率,减小材料密度,降低介电常数。比如,纳米孔洞的SiO2气凝胶,孔隙率高达96%以上,介电常数甚至可以在1.1左右。

图1.增加体积降低材料的介电性能。
参考文献
[1] Arden W M, Current Opinion in Solid State & Materials Science, 2002, 6(5):371-377.
[2] Maier G, Progress in Polymer Science, 2001, 26(1):3-65.
[3] Petkov M P, Lynn K G, Rodbell K P, et al, Nuclear Science IEEE Transactions on, 2002, 49(6):2724-2728.
科学指南针通过互联网技术建立更可靠的服务标准,全国26个办事处,12个城市拥有自营实验室,最好的设备、最专业的老师为您服务。
免责声明:部分文章整合自网络,因内容庞杂无法联系到全部作者,如有侵权,请联系删除,我们会在第一时间予以答复,万分感谢。





您已经拒绝加入团体

