【摘要】 所谓电子顺磁共振(EPR)定量,即为检测出被测样品中的未偶电子数,也即自旋数。
科学指南针可为您提供顺磁共振波谱仪ESR/EPR测试服务,顺磁共振波谱仪(EPR/ESR)的研究对象为自由基和顺磁性金属离子(大多数过渡金属离子和稀土离子)及其化合物。通过顺磁共振谱的测试与分析,获得结构与成分的信息。
在做EPR测试时,科学指南针平台工作人员在与很多同学沟通中了解到,好多同学对EPR测试不太了解,对其原理,仍是小白阶段,针对此,科学指南针平台团队组织相关同事对网上海量知识进行整理,希望可以帮助到科研圈的伙伴们;
所谓电子顺磁共振(EPR)定量,即为检测出被测样品中的未偶电子数,也即自旋数。在EPR测试实验中:波谱吸收峰所包围的面积与被测样品中的自旋
数成正比,因此EPR定量的问题就转化为对波谱吸收峰包围面积的测定。但测出的面积不是样品的自旋数,它只是与自旋数成正比,因此需要选择一个已知自旋数的样品为标准品对比。
注:EPR 波谱吸收峰所包围的面积需对微分谱线信号进行两次积分才能得到。

.png)


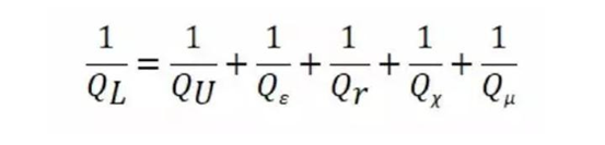
注:影响 Q 值有多种因素,实验中尽量使样品插入腔体中位置一致


磁场调制幅度与信号的关系
注:EPR 定量时调制幅度不超过谱线线宽的 1/4
微波相位角

微波相角变化与信号振幅大小的关系
注:EPR 定量时应保持相位一致
影响EPR信号强度的因素有多种,比如磁场调制频率和幅度、扫描时间和检波器的时间常数、磁场扫描宽度、接受增益、检波电流、自动频率控制(AFC)
补偿(offset)、微波频率与谐振腔工作模的调谐匹配、照射在样品上的微波功率和微波场(H1)、样品在谐振腔内的位置、谐振腔的类型的选择、样品管的物理尺寸、在微波频率下,溶剂的介电性质、样品的温度控制(有些对温度敏感的样品,会因温度引起浓度变化,物种变异、分解,磁性和介电损耗的改变)
因此 EPR 定量存在一定误差,在测量过程中需尽量规避各种因素带来的影响,以减小误差。
科学指南针为您提供材料测试,主要业务范围包括XPS,普通XRD,透射电子显微镜TEM,全自动比表面及孔隙度分析BET等测试。
免责声明:部分文章整合自网络,因内容庞杂无法联系到全部作者,如有侵权,请联系删除,我们会在第一时间予以答复,万分感谢。





您已经拒绝加入团体

